Table of Contents
For the last 10 years, I have been exploring structural analysis using the finite element method. I started this journey with the experience of a freshly minted degree in engineering, paired with being confidently unaware of how much I did not know about structural mechanics. I was given access to this interesting and robust tool called Abaqus, and I was immediately challenged with some complex problems. I was enamored, trying to understand new concepts related to mesh quality, solver techniques, contact, element formulations, etc. In the beginning, I never really paid much attention to material properties. I had taken some elementary strength of material coursework. How hard could it be? I was having a lot of success simulating ductile metals, and then the first elastomer problem came across my desk. Sure, why not? I will take a crack at it, I thought…
Maybe there was a week of coursework that was erased from my memory bank that talked about this mysterious concept called Hyperelasticity. I started modeling elastomers, and to be frank, it took me a long time to realize just how much I did not know about this topic. Thankfully, over the years, I have been extremely fortunate to be able to work alongside tremendous resources at GoEngineer, Dassault Systèmes, and Axel Physical Testing Services to better understand this complex topic. During this time, I learned quite a few important lessons about modeling these challenging materials. I’d like to share some of that knowledge through these six tips, illustrated with testing data and pictures provided by Axel Physical Testing Services.
Material data sheets for elastomers provide a shore value as a metric to describe a material’s hardness. This value is an important tool for starting the discussion on selecting an appropriate elastomer for your application. However, having access to actual stress-strain data will provide a much higher level of accuracy. Some material suppliers are starting to conduct and supply extensive testing data with their products, which is an excellent trend in the industry.
If all that is available is the shore value, the elastic modulus can be calculated by the Gent Relation. This resultant elastic modulus could then also be converted into a Neo Hooke material model by further calculating the shear and bulk moduli. When you compare the linear elastic and Neo Hooke models to the uniaxial tension test data below, you can see that they correlate only with very small strain levels - up to 5% in this example. If your application only considers small strains, these readily available and easy-to-calculate options may be a good choice. However, if you need to evaluate larger strains for your application, you will want to consider a more detailed material model.

The analysis now needs to consider larger strains, and you reached out to your material supplier, and they have stress-strain data that can be shared. The file they send over to you is a uniaxial tension test. We have a plethora of material models available to characterize this uniaxial tension test data, the most common being Marlow and Ogden models. The critical point to keep in mind is that there are other states of strain that are needed to fully characterize an elastomer, namely, planar and biaxial.

The three states of strain needed characterize an elastomer
By completing all three elastomer tests, uniaxial tension, planar tension, and biaxial tension (also called equal biaxial), we can accurately characterize all deformation modes of an elastomer using our chosen strain energy density function (Marlow, Ogden, Mooney-Rivlin, etc.). There is also a fourth test called volumetric compression that is critical for confined elastomer applications. We will save that for a later discussion.

Uniaxial, planar, and biaxial elastomer physical tests
We know that, ideally, we would have all three tests done to fully characterize the deformation modes of an elastomer. But what is the risk if we don’t? What if the only test data we can get is a uniaxial tension test? What are our options? Well, you can still calibrate any material model with just a uniaxial tension test. However, there are things we need to be aware of, though. Specifically, some material models can give us an unrealistic biaxial or planar response while still being a good fit for the uniaxial data.
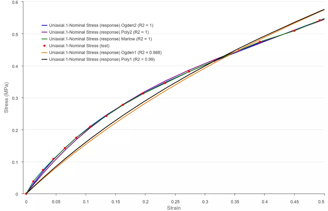
Let's take a look at an example. We will take only uniaxial tension test data and generate a Marlow, 1st/2nd order Ogden, and 1st/2nd order Polynomial material models. We will then compare the material models’ biaxial response of this data to the actual biaxial tension test data.

Uniaxial tension test vs response
Above, you can see that the Marlow and 2nd order Ogden and Polynomial models have a perfect fit, R2=1, to the uniaxial tension test data. The 1st order Ogden and Polynomial models also have an excellent fit of R2=0.99 to the data. Without considering the biaxial data, it can be tempting to select the 2nd order Polynomial or Ogden models if those are the models you typically work with. However, we do have the biaxial test data; let's plot these material models that have not been calibrated with respect to the biaxial test data to the actual biaxial test data.

Biaxial tension test vs response
When we compare the Marlow, 1st order Ogden, and 1st order Polynomial to the test data, we see relatively good correlation for the biaxial response to the biaxial test data. However, when we up the Ogden and Polynomial models to 2nd order functions, the biaxial response becomes unstable and unusable. Therefore, it is highly recommended to avoid 2nd order or higher models when only having uniaxial test data. The Marlow model typically has the best performance and is recommended, as it utilizes the test data directly (perfect correlation for the uniaxial response) and will always generate a reasonable and stable biaxial/planar response.
We now have testing data with all three states of strain (uniaxial, planar, and biaxial), and we start to try to fit an Ogden or Polynomial model. When the 1st and 2nd order functions have a poor fit, it can be tempting to try higher order functions. The risk of these higher order functions is that they are more susceptible to instability at strain levels of interest.
What is material instability? Material instability occurs when an external load causes non-negative work, which is physically not realistic. What causes this non-negative work? When fitting a material model, we are conducting an optimization to minimize the difference between the experimental stress-strain data of the three states of strain and the material model prediction. This hyperelastic material model, also called a strain energy density function, creates a 3-dimensional surface that is used to predict the complex states of strain of this material in our analysis. Higher order functions have additional local maxima and minima, which can increase the non-convexity of a response surface or strain energy density function. These non-convexities in our response surface are what generate this non-negative work and material instability.

Example of a stable response surface (left) and an unstable response surface (right)
These instabilities can cause a plethora of issues in your model, such as convergence failures, mesh anomalies that dominate the result, and unpredictable stress or strain results. Materials strained beyond their stability limit in any modes of deformation should not be used for engineering decision-making. It is recommended to work with a 1st or 2nd order model whenever possible, even if the fit is not perfect. You can always check the stability of your material model using the Abaqus Material Evaluate option or in the 3DEXPERIENCE Material Calibration tool, as shown below.

Material displaying poor stability metrics
When simulating elastomers, we always need to consider the loading state of our application. The material response can have a significant difference if we are interested in the initial loading versus a subsequent or cyclic loading. This phenomenon is called the Mullins effect. In the example below, the elastomer is loaded up initially with Curve 1 and unloaded along Curve 2. When it is loaded again, it will load up along Curve 2, up to Curve 3, and then unload with Curve 4, etc.

Elastomer Mullins effect example
This is a critical effect because it may be important for your application to consider the initial (first cycle) loading versus subsequent loading in a conditioned state. To illustrate, imagine wanting to understand the performance of a rubber bushing in its regular, cyclically loaded use case.
This can only be done accurately if you account for the effects of its installation in the manufacturing process (i.e., a preceding load cycle). Abaqus and most nonlinear structural codes allow you to include the Mullins effect in your hyperelastic material models. A user can first load the model to obtain the initial structural response and then subsequently load it in the software to see the conditioned response. Another popular technique is to take the conditioned stress strain test data and treat it as the initial response. Then the user could see the conditioned response in their analysis with a single load case.

Left: Cyclically loaded uniaxial tension. Right: Single loading simple tension curves generated from extracting and zeroing the cyclically loaded uniaxial tension data
Elastomers typically have very large strain limits. When selecting test data to generate a material model, a user will typically want to select a range of strain data that is relevant to the strain their product is going to experience. Of course, not having enough strain data is problematic because the material model may fail to predict a response outside of the strain range to which it was calibrated. However, there is also a problem with having too much data. Say we expect our elastomer to experience 30% strain in its loading application. If we use test data up to 300% strain, we may be burdening ourselves with data that is difficult to calibrate and may generate an unstable response. However, if we just used data up to 50%, the calibration would likely be relatively simple, accurate, and stable.
Recently, I was able to attend the Testing and Analysis of Elastomers course held at Axel Products in Ann Arbor, Michigan. This course went through the fundamentals of physical testing, hyperelastic theory, and calibrating material models in Abaqus and 3DEXPERIENCE. I can’t recommend this course enough! Axel Products, founded in 1994, is an industry leader in performing testing services and material model development for engineers and analysts.
Thank you for checking out our blog! If you have had any interesting experiences with elastomers that you would like to share, please feel free to email me at mingels@goengineer.com.
When to Move from Linear to Nonlinear Finite Element Analysis
Stabilization Strategies for Nonlinear Static Abaqus Models
How the GoEngineer Simulation Team Is Expanding Customer Capabilities
Abaqus Meshing Tips for Accurate Stress Results
About Marcel Ingels
Marcel is a Senior Simulation Specialist at GoEngineer. He earned his BS and MS in Biomedical Engineering at the University of Toledo. With nine years of experience in the sim space, Marcel’s primary role lies in leading simulation projects in the medical device, aerospace, automotive, and defense industries, and in providing technical support and training on Abaqus and the 3DEXPERIENCE portfolio. His previous experience includes conducting analysis for a spinal implant start-up company and as a research assistant at an orthopedic research institute, where he focused on CAE analysis of impact biomechanics and orthopedic devices.
Get our wide array of technical resources delivered right to your inbox.
Unsubscribe at any time.